. INFILTRASI
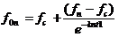
Air menguap secara konstant dari permukaan bumi, dan presipitasi mengmbalikannya ke bumi dalam bentuk hujan, salju, dsb. Sebagian besar presipitasi meresap kedalam tanah membentuk cadangan airtanah, yang dikenal sebagai proses infiltrasi. Proses ini ialah meresapnya air kedalam tanah menuju water table. Selanjutnya, kapasitas infiltrasi adalah laju infiltarasi maksimum yang terjadi pada suatu kondisi tertentu. Alat yang digunakan adalah ring infiltrometer. Pada acara ini, model infiltrasi yang akan dipergunakan adalah metode Horton, yang mempunyai formula sebagai berikut :
![]() |
Dimana :
f = laju infiltrasi (cm/menit)
f0 = laju infiltrasi awal (cm/menit)
fc = laju infiltrasi konstant (cm/menit)
k = konstanta
t = waktu (menit)
Untuk menentukan klas inflitrasi, dipakai klasifikasi menurut Rickard dan Cossens (1965) sebagai berikut :
TABLE 2.22. KLAS INFLITRASI
Klas | Klasifikasi | Laju infiltrasi (mm/jam) |
0 1 2 3 4 | Sangat rendah Rendah Sedang Tinggi Sangat tinggi | Kurang dari 2,5 2,5 – 15 15 – 25 25 – 33 Lebih dari 33 |
Cara kerja :
1. fc atau laju infiltrasi konstant dapat diestimasi dari pengukuran/pengambaran dimana data infiltrasi sudah konstant, dalam hal ini adalah 0.003
- Konstanta (k) dapat dicari dengan rumus :
![]() |
dimana :
t1 = waktu pengukuran f yang pertama
t2 = waktu pengukuran f yeng kedua
f1 = laju infiltrasi pada t1
f2 = laju infiltrasi pada t2
- Menghitung nilai f0 dengan rumus :
![]() |
Sehingga :

- Selanjutnya, setelah semua nilai f0 dan k dihitung, tentukan nilai f duga (ft) dengan persamaan Horton pada masing-masing waktu interval, (untuk acara ini lakukan saja pada interval waktu 5,10,20,45,60,70,85, dan 100 menit) seperti contoh pada tabel 8.2 berikut :
- Setelah semua nilai pada interval tersebut ditemukan, carilah model terbaik dengan formula (f ukur – f duga)2 pada jumlah nilai yang terkecil seperti pada tabel 8.3.
- Misalkan jumlah yang terkecil ada pada t = 45 menit, sehingga gunakan nilai f0 dan k pada menit ke 45 untuk mendapatkan hasil model Horton terbaik.
Bandingkan nilai f ukur dan f duga, kemudian buatlah grafik pada masing-masing interval waktu yang telah ditentukan.
PERMEABILITAS
Permeablitas (K) adalah kecepatan airtanah yang bergerak pada pori-pori batuan dan dinyatakan dalam notasi m/hari. Auger hole method adalah suatu cara singkat dan praktis untuk menentukan besarnya nilai permeabilitas. Prinsip kerjanya adalah pembuatan lobang bor sampai kedalaman tertentu untuk melihat besarnya airtanah yang secara natural mengisi lobang bor atau pada keadaan tertentu dimana water table cukup dalam, artificial recharge bisa kita lakukan untuk mengetahui cepetnya air meresap kedalam tanah (metode invers).
Metode ini lebih sering dilakukan pada kondisi water table yang dalam (lebih dari 2 meter), karena kondisi screen bor yang hanya mempunyai panjang total 1 meter. Cara kerja metode ini adalah lobang bor yang sudah siap kita isi air, dan dicatat penurunan/peresapan airtanah per satuan waktu. Untuk mencari nilai K, rumus yang dipakai adalah sebagai berikut :
K = 1,15 r tg α
dimana :
K adalah permeabilitas tanah (m/hari)
r adalah jari-jari lobang bor
tg α adalah kemiringan plot nilai ti dan peresapan pada kertas semilog




1 komentar:
Kenapa beda F ukur dan F duga harus sekecil mungkin?
Posting Komentar
mohon kritik dan saran yang membangun